Tributyl Vinyl Tin

Tributyl Vinyl Tin Sigma Aldrich

Tributyl Vinyl Tin Sigma Aldrich

Tributyl Vinyl Tin 97 Acros Organics Fisher Scientific

Tributyl Vinyl Tin 97 Acros Organics Fisher Scientific

Tributyl Vinyl Tin C14h30sn Pubchem

Tributyl Vinyl Tin C14h30sn Pubchem

Tributyl 1 Ethoxyvinyl Tin Cas 97674 02 7

Tributyl 1 Ethoxyvinyl Tin Cas 97674 02 7

Tributyl Vinyl Tin 7486 35 3

Tributyl Vinyl Tin 7486 35 3

Tributyl Perfluoroethyl Stannane 97 Sigma Aldrich

Tributyl Perfluoroethyl Stannane 97 Sigma Aldrich

Tributyl Perfluoroethyl Stannane 97 Sigma Aldrich

Tributyl vinyl tin c14h30sn cid 81998 structure chemical names physical and chemical properties classification patents literature biological activities.

Tributyl vinyl tin.

Linear formula ch 3 ch 2 3 3 snc oc 2 h 5 ch 2. Synthetic chlorins bearing diverse auxochromes at the 3 and 13 positions of the macrocycle are valuable targets given their resemblance to chlorophylls a and b which bear 3 vinyl and 13 keto groups. Request custom packages or custom synthesis to facilitate your lab research. Tributyl vinyl stannane tributylstannylethylene vinyltributylstannane cas number 7486 35 3.

Shop a large selection of products and learn more about tributyl vinyl tin 97 acros organics. A general formula for these compounds is n c 4 h 9 3 sn x the x typically occurs in three forms each an electronegative compound bound to a chloride hydroxide or a carboxylate. Use of the information documents and data from the echa website is subject to the terms and conditions of this legal notice and subject to other binding limitations provided for under applicable law the information documents and data made available on the echa website may be reproduced distributed and or used totally or in part for non commercial purposes provided that echa is. Linear formula ch 2 chsn ch 3 ch 2 3 3.

See prices and buy tributyl 1 ethoxyvinyl tin cas no. Not a dangerous good if item is equal to or less than 1g ml and there is less than 100g ml in the package. Visit chemicalbook to find more tributyl vinyl tin 7486 35 3 information like chemical properties structure melting point boiling point density molecular formula molecular weight physical properties toxicity information customs codes. You can also browse global suppliers vendor prices price manufacturers of tributyl vinyl tin 7486 35 3.

Tri n butyl 1 ethoxyvinyl tin is a reagent used in the synthesis of acetylcholinesterase inhibitors used in the treatment of alzheimer s disease. Chem 60 5909 2017. Molecular weight 361 15. Molecular weight 317 10.

Pubchem substance id 24856437. Tributyl 1 ethoxyvinyl tin 97 cas number 97674 02 7. At last tributyl vinyl tin 7486 35 3 safety risk. 1 synthetic chlorins bearing auxochromes at the 3 and 13 positions.

Tbt or tributyltin tributylstannyl or tributyl stannic hydride compounds are organotin compounds they have three butyl groups covalently bonded to a tin iv centre.

Tributyl 4 5 Dihydrofuran 2 Yl Stannane 97 Sigma Aldrich

Tributyl 4 5 Dihydrofuran 2 Yl Stannane 97 Sigma Aldrich

Tributyl 1 Ethoxyvinyl Tin 97 Sigma Aldrich

Tributyl 1 Ethoxyvinyl Tin 97 Sigma Aldrich

Tributyl 1 Ethoxyvinyl Stannane C16h34osn Pubchem

Tributyl 1 Ethoxyvinyl Stannane C16h34osn Pubchem

Allyltriphenylstannane 97 Sigma Aldrich

Allyltriphenylstannane 97 Sigma Aldrich

Allyltributylstannane Purum 95 0 Gc Sigma Aldrich

Allyltributylstannane Purum 95 0 Gc Sigma Aldrich

Trimethyl Tributylstannyl Silane 97 Sigma Aldrich

Trimethyl Tributylstannyl Silane 97 Sigma Aldrich

Tributyl Methoxymethoxy Methyl Stannane Aldrichcpr Sigma Aldrich

Tributyl Methoxymethoxy Methyl Stannane Aldrichcpr Sigma Aldrich

2 Tributylstannyl Propene Aldrichcpr Sigma Aldrich

2 Tributylstannyl Propene Aldrichcpr Sigma Aldrich

Reaction Scheme For Synthesis Of Compound 1 Reagents And Conditions Download Scientific Diagram

Reaction Scheme For Synthesis Of Compound 1 Reagents And Conditions Download Scientific Diagram

Vinyl Tributyltin Wikipedia

Vinyl Tributyltin Wikipedia

Cis Tributyl 2 Ethoxyethenyl Stannane 97 Sigma Aldrich

Cis Tributyl 2 Ethoxyethenyl Stannane 97 Sigma Aldrich

Tributyl Z 2 Ethoxyvinyl Stannane C16h34osn Chemspider

Tributyl Z 2 Ethoxyvinyl Stannane C16h34osn Chemspider

Tributyltin Hydride Contains 0 05 Bht As Stabilizer 97 Sigma Aldrich

Tributyltin Hydride Contains 0 05 Bht As Stabilizer 97 Sigma Aldrich

Dibutyltin Dibromide 98 Sigma Aldrich

Dibutyltin Dibromide 98 Sigma Aldrich

Tributylphenylstannane 97 Tributylphenyltin Sigma Aldrich

Tributylphenylstannane 97 Tributylphenyltin Sigma Aldrich

Trans 1 2 Bis Tributylstannyl Ethene 97 Sigma Aldrich

Trans 1 2 Bis Tributylstannyl Ethene 97 Sigma Aldrich

Stille Reaction Wikipedia

Stille Reaction Wikipedia

Tert Butyl 4 Vinylphenyl Carbonate 98 Sigma Aldrich

Tert Butyl 4 Vinylphenyl Carbonate 98 Sigma Aldrich

Application Of Copper I Salt And Fluoride Promoted Stille Coupling Reactions In The Synthesis Of Bioactive Molecules Organic Biomolecular Chemistry Rsc Publishing Doi 10 1039 C9ob01602c

Application Of Copper I Salt And Fluoride Promoted Stille Coupling Reactions In The Synthesis Of Bioactive Molecules Organic Biomolecular Chemistry Rsc Publishing Doi 10 1039 C9ob01602c

Tributyltin Chloride American Elements

Tributyltin Chloride American Elements

Synthesis Of Spongistatin 2 Employing A New Route To The Ef Fragment Chemical Science Rsc Publishing Doi 10 1039 C3sc50304f

Synthesis Of Spongistatin 2 Employing A New Route To The Ef Fragment Chemical Science Rsc Publishing Doi 10 1039 C3sc50304f

Tributyl Trimethylsilylethynyl Tin 81353 38 0 Tci America

Tributyl Trimethylsilylethynyl Tin 81353 38 0 Tci America

Tributyltin Chloride An Overview Sciencedirect Topics

Tributyltin Chloride An Overview Sciencedirect Topics

Carbocyclic Natural Products By Alkene Metathesis

Carbocyclic Natural Products By Alkene Metathesis

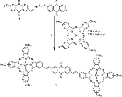
Strong Intramolecular Electronic Interactions In An Anthraquinone Bridged Bis Ethenylphthalocyaninatozinc Ii Triad Chemical Communications Rsc Publishing Doi 10 1039 B009917c

Strong Intramolecular Electronic Interactions In An Anthraquinone Bridged Bis Ethenylphthalocyaninatozinc Ii Triad Chemical Communications Rsc Publishing Doi 10 1039 B009917c

Tributyltin Hydride 688 73 3

Tributyltin Hydride 688 73 3

Enol Triflates Derived From The Wieland Miescher Ketone And An Analog Bearing An Angular Acetoxymethyl Group Their Highly Regioselective Synthesis And Stille Coupling With Vinyl Tributyl Tin Sciencedirect

Enol Triflates Derived From The Wieland Miescher Ketone And An Analog Bearing An Angular Acetoxymethyl Group Their Highly Regioselective Synthesis And Stille Coupling With Vinyl Tributyl Tin Sciencedirect

Cina In Vinile Building Block 1 Ethoxyethenyl Tributylstannane 7486 35 3 Fornito In Grande Quantita Con Il Prezzo Competitivo Fornitori E Produttori Fabbrica All Ingrosso Uchem

Cina In Vinile Building Block 1 Ethoxyethenyl Tributylstannane 7486 35 3 Fornito In Grande Quantita Con Il Prezzo Competitivo Fornitori E Produttori Fabbrica All Ingrosso Uchem

A Tin Free Radical Photocatalyzed Addition To Vinyl Sulfones Ravelli 2011 Advanced Synthesis Amp Catalysis Wiley Online Library

A Tin Free Radical Photocatalyzed Addition To Vinyl Sulfones Ravelli 2011 Advanced Synthesis Amp Catalysis Wiley Online Library

Https Pubs Acs Org Doi Pdf 10 1021 Acs Jnatprod 7b00865

Https Pubs Acs Org Doi Pdf 10 1021 Acs Jnatprod 7b00865

Asymmetric Fluorination Of Indanone 2 Carboxylates Using A Polystyrene Supported Diphenylamine Linked Bis Oxazoline Complex Organic Biomolecular Chemistry Rsc Publishing Doi 10 1039 C8ob01943f

Asymmetric Fluorination Of Indanone 2 Carboxylates Using A Polystyrene Supported Diphenylamine Linked Bis Oxazoline Complex Organic Biomolecular Chemistry Rsc Publishing Doi 10 1039 C8ob01943f

Wo 2008 078291 A1 5 6 7 8 Tetrahydro Imidazo 1 5 A Pyrazine Derivatives The Lens Free Open Patent And Scholarly Search

Wo 2008 078291 A1 5 6 7 8 Tetrahydro Imidazo 1 5 A Pyrazine Derivatives The Lens Free Open Patent And Scholarly Search

Functionalization Of Imidazo 1 2 A Pyridines By Means Of Metal Catalyzed Cross Coupling Reactions Koubachi 2014 European Journal Of Organic Chemistry Wiley Online Library

Functionalization Of Imidazo 1 2 A Pyridines By Means Of Metal Catalyzed Cross Coupling Reactions Koubachi 2014 European Journal Of Organic Chemistry Wiley Online Library

Color Street Petite Nwt In 2020 Color Street Petite Color

Color Street Petite Nwt In 2020 Color Street Petite Color

Synthesis And Characterization Of 1 8 Naphthalimide With 6 Helicene Skeleton Organic Biomolecular Chemistry Rsc Publishing Doi 10 1039 C2ob25223f

Synthesis And Characterization Of 1 8 Naphthalimide With 6 Helicene Skeleton Organic Biomolecular Chemistry Rsc Publishing Doi 10 1039 C2ob25223f

Stille Coupling Of Methyl 2 Iodobenzoate With Download Scientific Diagram

Stille Coupling Of Methyl 2 Iodobenzoate With Download Scientific Diagram

Stille Reaction Wikiwand

Stille Reaction Wikiwand

Development Of Polymerizable 2 1 Naphthyl 5 Phenyloxazole Scintillators For Ionizing Radiation Detection Journal Of Materials Chemistry C Rsc Publishing

Development Of Polymerizable 2 1 Naphthyl 5 Phenyloxazole Scintillators For Ionizing Radiation Detection Journal Of Materials Chemistry C Rsc Publishing

Oxovanadium Iv Containing Poly Styrene Co 4 Ethenyl 2 Hydroxyphenylimidazole Electrospun Nanofibers For The Catalytic Oxidation Of Thioanisole Sciencedirect

Oxovanadium Iv Containing Poly Styrene Co 4 Ethenyl 2 Hydroxyphenylimidazole Electrospun Nanofibers For The Catalytic Oxidation Of Thioanisole Sciencedirect

Organometallic Polymers Of Germanium Tin And Lead Jurkschat Major Reference Works Wiley Online Library

Organometallic Polymers Of Germanium Tin And Lead Jurkschat Major Reference Works Wiley Online Library

Https Onlinelibrary Wiley Com Doi Pdf 10 1002 Anie 201902908

Https Onlinelibrary Wiley Com Doi Pdf 10 1002 Anie 201902908

Antidiabetic Tricyclic Compounds Us 10 519 115 B2 Patentswarm

Antidiabetic Tricyclic Compounds Us 10 519 115 B2 Patentswarm

Tri N Butylchlorostannane Kadota Major Reference Works Wiley Online Library

Tri N Butylchlorostannane Kadota Major Reference Works Wiley Online Library

Effect Of Pentaerythritol And Organic Tin With Calcium Zinc Stearates On The Stabilization Of Poly Vinyl Chloride Request Pdf

Effect Of Pentaerythritol And Organic Tin With Calcium Zinc Stearates On The Stabilization Of Poly Vinyl Chloride Request Pdf

Source : pinterest.com